← go back to the camera

me encantan los pizarrones !!11!

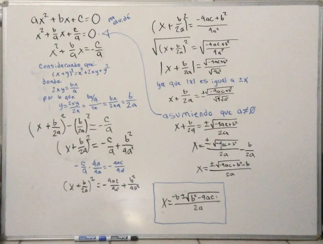
odio utilizar la fórmula general, pero la forma en la que se obtiene me parece bellísima ♡
realizar integrales definidas utilizando la definición de Riemann es simplemente mágico